2,2'-二硫代水楊酸二甲酯
CAS號:5459-63-2
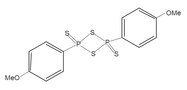
勞森試劑
CAS號:19172-47-5
3,5-二氯苯硫代乙醇
CAS號:101079-86-1
4-三氟甲硫基苯胺
CAS號:372-16-7
4-甲氧基-a-[(3-甲氧基苯基)硫代]苯乙酮
CAS號:63675-73-0
4-氨基-4'-氯二苯硫醚
CAS號:32631-29-1
苯硫基乙酸甲酯
CAS號:17277-58-6
苯硫基乙酸乙酯
CAS號:7605-25-6
3,3’-二羧基二苯二硫醚
CAS號:1227-49-2
4,4'-二羥基二苯二硫醚
CAS號:15015-57-3
2,2',4,4'-四甲基二苯二硫醚
CAS號:27080-90-6
C063
CAS號:87424-98-4